There are many error sources in the north seeking device, which will directly affect the north seeking accuracy of the north seeker. Whether it is an accelerometer or a fiber optic gyroscope, both have high requirements for the rotation accuracy of the indexing system. Therefore, the design of the indexing scheme is an important link in the design of the north-seeking system. To improve the positioning accuracy of the indexing system, it is necessary to analyze and calibrate the errors caused by the indexing.
1.North seeker transposition error analysis
For the strap-down north seeking system, the main error sources are: gyro scale factor error, trend term error, earth latitude error, gyro drift error, transposition error, external interference, accelerometer error and observation noise, etc. Generally, the filtering method can be used to reduce the impact of external interference and observation noise on the north-finding accuracy. Regarding the error of the accelerometer, as long as a high-precision accelerometer is used, the north-finding error caused by it can be ignored. Ericco company focuses on the research on the indexing system of the north-seeking instrument. During the north-finding process, there are many factors that cause the north-finding error. When the indexing system rotates from the 0°position to the 180°position, an indexing error will inevitably occur. , the following is a detailed analysis of the north-seeking error caused by the transposition error.
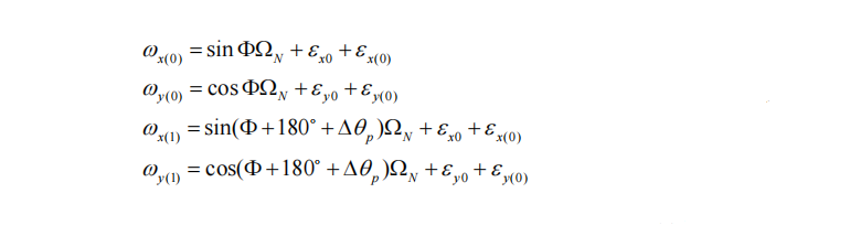
Because there are many error sources in the gyro north-seeking process, for the convenience of research, the other two attitude angles are not considered first. Assume that the north-seeker is working in a leveling condition, and first consider the gyro drift and transposition error (Δθp ), at this time:The difference between the two outputs can eliminate the gyro constant drift and ignore the random drift:
Expanding both sides and ignoring small quantities above the second order, we can get:
Therefore, the following conclusion can be drawn: the north-seeking error caused by the transposition error is approximately half of the transposition error.
2.Measurement and calibration of transposition error
From the above analysis, it can be seen that the north-seeking error and the transposition error are linearly related. To compensate for this error, the transposition error must be measured more accurately. There are two main methods for measuring transposition error.
(1) Place the north seeker on a large two-axis rate turntable. After leveling, rotate the indexing mechanism to 180°+Δθp, use an optical theodolite to read it, and then use the turntable to rotate 180°. Take readings. The difference between the two data is the rotation error of the north seeker to be measured. Once the rotation error is known, the north-seekingerror can be compensated according to the formula. The compensation effect mainly depends on the stability of the parameters. sex and accuracy.
(2) Install an incremental photoelectric encoder on the existing north seeker. After the indexing mechanism rotates 180°, the rotated angle value can be obtained by counting the pulses output by the photoelectric encoder, which is relative to the needs of the indexing mechanism. It has considerable accuracy. The difference between the output of the photoelectric encoder and 180° is the index error to be measured. The specific measurement process is as follows: Install the north seeker to be measured on the leveling platform, and rotate the index mechanism to 180°. Send the output value of the photoelectric encoder to the computer for calculation, as follows:In this way, if an incremental photoelectric encoder is used with a resolution of 0.006°, the measured index angle can be accurate to more than twenty arc seconds.
3. Summary
This article briefly analyzes and calibrates the indexing error of the north seeking device. Ericco adheres to the concept of high quality and high performance for inertial products.Whether it is a fiber optic north finder or a MEMS north finder, repeated experiments and calibrations will be carried out during the development process.If you are interested in our products, please feel free to inquire.
More Technical Questions
1.Analyze the Software Design of North Finder
2.Technical Analysis of FOG North Finder in Improving Accuracy
3.Research on Signal Acquisition of Strap-down North Seeker
4.Error Analysis and Compensation Technology of North Seeker
5.Introduction and features of MEMS north seeker
6.How to Use Acquisition Software of MEMS North Seeker?
Products in Article





